二極管和三極管介紹-二極管和三極管的區別及工作原理詳解-KIA MOS管
信息來源:本站 日期:2018-09-04
二極管,(英語:Diode),電子元件當中,一種具有兩個電極的裝置,只允許電流由單一方向流過,許多的使用是應用其整流的功能。而變容二極管(Varicap Diode)則用來當作電子式的可調電容器。大部分二極管所具備的電流方向性我們通常稱之為“整流(Rectifying)”功能。二極管最普遍的功能就是只允許電流由單一方向通過(稱為順向偏壓),反向時阻斷 (稱為逆向偏壓)。因此,二極管可以想成電子版的逆止閥。
早期的真空電子二極管;它是一種能夠單向傳導電流的電子器件。在半導體二極管內部有一個PN結兩個引線端子,這種電子器件按照外加電壓的方向,具備單向電流的傳導性。一般來講,晶體二極管是一個由p型半導體和n型半導體燒結形成的p-n結界面。在其界面的兩側形成空間電荷層,構成自建電場。當外加電壓等于零時,由于p-n 結兩邊載流子的濃度差引起擴散電流和由自建電場引起的漂移電流相等而處于電平衡狀態,這也是常態下的二極管特性。
早期的二極管包含“貓須晶體("Cat's Whisker" Crystals)”以及真空管(英國稱為“熱游離閥(Thermionic Valves)”)?,F今最普遍的二極管大多是使用半導體材料如硅或鍺。
三極管,全稱應為半導體三極管,也稱雙極型晶體管、晶體三極管,是一種控制電流的半導體器件其作用是把微弱信號放大成幅度值較大的電信號, 也用作無觸點開關。晶體三極管,是半導體基本元器件之一,具有電流放大作用,是電子電路的核心元件。三極管是在一塊半導體基片上制作兩個相距很近的PN結,兩個PN結把整塊半導體分成三部分,中間部分是基區,兩側部分是發射區和集電區,排列方式有PNP和NPN兩種。
二極管工作原理
晶體二極管為一個由p型半導體和n型半導體形成的pn結,在其界面處兩側形成空間電荷層,并建有自建電場。當不存在外加電壓時,由于pn結兩邊載流子濃度差引起的擴散電流和自建電場引起的漂移電流相等而處于電平衡狀態。當外界有正向電壓偏置時,外界電場和自建電場的互相抑消作用使載流子的擴散電流增加引起了正向電流。當外界有反向電壓偏置時,外界電場和自建電場進一步加強,形成在一定反向電壓范圍內與反向偏置電壓值無關的反向飽和電流I0。當外加的反向電壓高到一定程度時,pn結空間電荷層中的電場強度達到臨界值產生載流子的倍增過程,產生大量電子空穴對,產生了數值很大的反向擊穿電流,稱為二極管的擊穿現象。pn結的反向擊穿有齊納擊穿和雪崩擊穿之分。
三極管工作原理
理論原理
晶體三極管(以下簡稱三極管)按材料分有兩種:鍺管和硅管。而每一種又有NPN和PNP兩種結構形式,但使用最多的是硅NPN和鍺PNP兩種三極管,(其中,N是負極的意思(代表英文中Negative),N型半導體在高純度硅中加入磷取代一些硅原子,在電壓刺激下產生自由電子導電,而P是正極的意思(Positive)是加入硼取代硅,產生大量空穴利于導電)。兩者除了電源極性不同外,其工作原理都是相同的,下面僅介紹NPN硅管的電流放大原理。
對于NPN管,它是由2塊N型半導體中間夾著一塊P型半導體所組成,發射區與基區之間形成的PN結稱為發射結,而集電區與基區形成的PN結稱為集電結,三條引線分別稱為發射極e (Emitter)、基極b (Base)和集電極c (Collector)。如右圖所示

當b點電位高于e點電位零點幾伏時,發射結處于正偏狀態,而C點電位高于b點電位幾伏時,集電結處于反偏狀態,集電極電源Ec要高于基極電源Eb。
在制造三極管時,有意識地使發射區的多數載流子濃度大于基區的,同時基區做得很薄,而且,要嚴格控制雜質含量,這樣,一旦接通電源后,由于發射結正偏,發射區的多數載流子(電子)及基區的多數載流子(空穴)很容易地越過發射結互相向對方擴散,但因前者的濃度基大于后者,所以通過發射結的電流基本上是電子流,這股電子流稱為發射極電流子。
由于基區很薄,加上集電結的反偏,注入基區的電子大部分越過集電結進入集電區而形成集電極電流Ic,只剩下很少(1-10%)的電子在基區的空穴進行復合,被復合掉的基區空穴由基極電源Eb重新補給,從而形成了基極電流Ibo.根據電流連續性原理得:
Ie=Ib+Ic
這就是說,在基極補充一個很小的Ib,就可以在集電極上得到一個較大的Ic,這就是所謂電流放大作用,Ic與Ib是維持一定的比例關系,即:
β1=Ic/Ib
式中:β1--稱為直流放大倍數,
集電極電流的變化量△Ic與基極電流的變化量△Ib之比為:
β= △Ic/△Ib
式中β--稱為交流電流放大倍數,由于低頻時β1和β的數值相差不大,所以有時為了方便起見,對兩者不作嚴格區分,β值約為幾十至一百多。
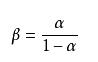
α1=Ic/Ie(Ic與Ie是直流通路中的電流大小)
式中:α1也稱為直流放大倍數,一般在共基極組態放大電路中使用,描述了射極電流與集電極電流的關系。
α =△Ic/△Ie
表達式中的α為交流共基極電流放大倍數。同理α與α1在小信號輸入時相差也不大。
對于兩個描述電流關系的放大倍數有以下關系

三極管的電流放大作用實際上是利用基極電流的微小變化去控制集電極電流的巨大變化。
三極管是一種電流放大器件,但在實際使用中常常通過電阻將三極管的電流放大作用轉變為電壓放大作用。
放大原理
1、發射區向基區發射電子
電源Ub經過電阻Rb加在發射結上,發射結正偏,發射區的多數載流子(自由電子)不斷地越過發射結進入基區,形成發射極電流Ie。同時基區多數載流子也向發射區擴散,但由于多數載流子濃度遠低于發射區載流子濃度,可以不考慮這個電流,因此可以認為發射結主要是電子流。
2、基區中電子的擴散與復合
電子進入基區后,先在靠近發射結的附近密集,漸漸形成電子濃度差,在濃度差的作用下,促使電子流在基區中向集電結擴散,被集電結電場拉入集電區形成集電極電流Ic。也有很小一部分電子(因為基區很?。┡c基區的空穴復合,擴散的電子流與復合電子流之比例決定了三極管的放大能力。
3、集電區收集電子
由于集電結外加反向電壓很大,這個反向電壓產生的電場力將阻止集電區電子向基區擴散,同時將擴散到集電結附近的電子拉入集電區從而形成集電極主電流Icn。另外集電區的少數載流子(空穴)也會產生漂移運動,流向基區形成反向飽和電流,用Icbo來表示,其數值很小,但對溫度卻異常敏感。
1、三極管
晶體三極管,是半導體基本元器件之一,具有電流放大作用,是電子電路的核心元件。三極管是在一塊半導體基片上制作兩個相距很近的PN結,兩個PN結把正塊半導體分成三部分,中間部分是基區,兩側部分是發射區和集電區,排列方式有PNP和NPN兩種,
從三個區引出相應的電極,分別為基極b發射極e和集電極c。
發射區和基區之間的PN結叫發射結,集電區和基區之間的PN結叫集電結?;鶇^很薄,而發射區較厚,雜質濃度大,PNP型三極管發射區"發射"的是空穴,其移動方向與電流方向一致,故發射極箭頭向里;NPN型三極管發射區"發射"的是自由電子,其移動方向與電流方向相反,故發射極箭頭向外。發射極箭頭向外。發射極箭頭指向也是PN結在正向電壓下的導通方向。硅晶體三極管和鍺晶體三極管都有PNP型和NPN型兩種類型。
三極管的封裝形式和管腳識別
常用三極管的封裝形式有金屬封裝和塑料封裝兩大類,引腳的排列方式具有一定的規律,
底視圖位置放置,使三個引腳構成等腰三角形的頂點上,從左向右依次為e b c;對于中小功率塑料三極管按圖使其平面朝向自己,三個引腳朝下放置,則從左到右依次為e b c。
國內各種類型的晶體三極管有許多種,管腳的排列不盡相同,在使用中不確定管腳排列的三極管,必須進行測量確定各管腳正確的位置,或查找晶體管使用手冊,明確三極管的特性及相應的技術參數和資料。
2、三極管
半導體二極管主要是依靠PN結而工作的。與PN結不可分割的點接觸型和肖特基型,也被列入一般的二極管的范圍內。包括這兩種型號在內,根據PN結構造面的特點,把晶體二極管分類如下:
點接觸型
點接觸型二極管是在鍺或硅材料的單晶片上壓觸一根金屬針后,再通過電流法而形成的。因此,其PN結的靜電容量小,適用于高頻電路。但是,與面結型相比較,點接觸型二極管正向特性和反向特性都差,因此,不能使用于大電流和整流。因為構造簡單,所以價格便宜。
面接觸型
面接觸型或稱面積型二極管的PN結是用合金法或擴散法做成的,由于這種二極管的PN結面積大,可承受較大電流,但極間電容也大。這類器件適用于整流,而不宜用于高頻率電路中。
鍵型
鍵型二極管是在鍺或硅的單晶片上熔金或銀的細絲而形成的。其特性介于點接觸型二極管和合金型二極管之間。與點接觸型相比較,雖然鍵型二極管的PN結電容量稍有增加,但正向特性特別優良。多作開關用,有時也被應用于檢波和電源整流(不大于50mA)。在鍵型二極管中,熔接金絲的二極管有時被稱金鍵型,熔接銀絲的二極管有時被稱為銀鍵型。
合金型
在N型鍺或硅的單晶片上,通過加入合金銦、鋁等金屬的方法制作PN結而形成的。正向電壓降小,適于大電流整流。因其PN結反向時靜電容量大,所以不適于高頻檢波和高頻整流。
擴散型
在高溫的P型雜質氣體中,加熱N型鍺或硅的單晶片,使單晶片表面的一部變成P型,以此法PN結。因PN結正向電壓降小,適用于大電流整流。最 近,使用大電流整流器的主流已由硅合金型轉移到硅擴散型。
臺面型
PN結的制作方法雖然與擴散型相同,但是,只保留PN結及其必要的部分,把不必要的部分用藥品腐蝕掉。其剩余的部分便呈現出臺面形,因而得名。初期生產的臺面型,是對半導體材料使用擴散法而制成的。因此,又把這種臺面型稱為擴散臺面型。對于這一類型來說,似乎大電流整流用的產品型號很少,而小電流開關用的產品型號卻很多。
平面型
在半導體單晶片(主要地是N型硅單晶片)上,擴散P型雜質,利用硅片表面氧化膜的屏蔽作用,在N型硅單晶片上僅選擇性地擴散一部分而形成的PN結。因此,不需要為調整PN結面積的藥品腐蝕作用。由于半導體表面被制作得平整,故而得名。并且,PN結合的表面,因被氧化膜覆蓋,所以公認為是穩定性好和壽命長的類型。最初,對于被使用的半導體材料是采用外延法形成的,故又把平面型稱為外延平面型。對平面型二極管而言,似乎使用于大電流整流用的型號很少,而作小電流開關用的型號則很多。
合金擴散型
它是合金型的一種。合金材料是容易被擴散的材料。把難以制作的材料通過巧妙地摻配雜質,就能與合金一起過擴散,以便在已經形成的PN結中獲得雜質的恰當的濃度分布。此法適用于制造高靈敏度的變容二極管。
外延型
用外延面長的過程制造PN結而形成的二極管。制造時需要非常高超的技術。因能隨意地控制雜質的不同濃度的分布,故適宜于制造高靈敏度的變容二極管。
肖特基
基本原理是:在金屬(例如鉛)和半導體(N型硅片)的接觸面上,用已形成的肖特基來阻擋反向電壓。肖特基與PN結的整流作用原理有根本性的差異。其耐壓程度只有40V左右。其特長是:開關速度非??欤悍聪蚧謴蜁r間trr特別地短。因此,能制作開關二極管和低壓大電流整流二極管。
晶體二極管在電路中常用“D”加數字表示,如: D5表示編號為5的二極管。
1、作用:二極管的主要特性是單向導電性,也就是在正向電壓的作用下,導通電阻很小;而在反向電壓作用下導通電阻極大或無窮大。正因為二極管具有上述特性,無繩電話機中常把它用在整流、隔離、穩壓、極性保護、編碼控制、調頻調制和靜噪等電路中。
電話機里使用的晶體二極管按作用可分為:整流二極管(如1N4004)、隔離二極管(如1N4148)、肖特基二極管(如BAT85)、發光二極管、穩壓二極管等。
2、識別方法:二極管的識別很簡單,小功率二極管的N極(負極),在二極管外表大多采用一種色圈標出來,有些二極管也用二極管專用符號來表示P極(正極)或N極(負極),也有采用符號標志為“P”、“N”來確定二極管極性的。發光二極管的正負極可從引腳長短來識別,長腳為正,短腳為負。
3、測試注意事項:用數字式萬用表去測二極管時,紅表筆接二極管的正極,黑表筆接二極管的負極,此時測得的阻值才是二極管的正向導通阻值,這與指針式萬用表的表筆接法剛好相反。
晶體三極管在電路中常用“Q”加數字表示,如:Q17表示編號為17的三極管。
1、特點:晶體三極管(簡稱三極管)是內部含有2個PN結,并且具有放大能力的特殊器件。它分NPN型和PNP型兩種類型,這兩種類型的三極管從工作特性上可互相彌補,所謂OTL電路中的對管就是由PNP型和NPN型配對使用。
電話機中常用的PNP型三極管有:A92、9015等型號;NPN型三極管有:A42、9014、9018、9013、9012等型號。
2、晶體三極管主要用于放大電路中起放大作用,在常見電路中有三種接法。
聯系方式:鄒先生
聯系電話:0755-83888366-8022
手機:18123972950
QQ:2880195519
聯系地址:深圳市福田區車公廟天安數碼城天吉大廈CD座5C1
請搜微信公眾號:“KIA半導體”或掃一掃下圖“關注”官方微信公眾號
請“關注”官方微信公眾號:提供 MOS管 技術幫助